边界层湍流对于台风的形成和演变具有重要作用。由于观测手段等方面的限制,目前研究多将传统大气边界层湍流理论直接应用于台风边界层,而针对台风边界层内的独特湍流机制研究较少。
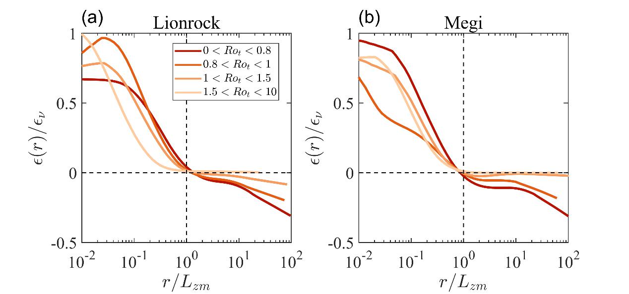
张宁教授课题组基于高频超声风速仪观测数据研究了登陆台风边界层中近地层的湍流特征,发现能量的逆向串级过程(即能量由小尺度湍涡向大尺度湍涡流动)导致地面粗糙度与拖曳系数出现了随风速下降的现象 (Shao et al., 2022)。该现象说明传统大气边界层湍流理论并不适用于台风边界层。对其中机制的深入研究发现控制台风边界层湍流逆向串级现象的物理机制源于台风的快速旋转 (Shao et al., 2023a)。受旋转影响,台风边界层湍流的能量串级可以分为两部分:小尺度湍涡不受旋转影响依旧进行正向串级,大尺度湍涡受旋转影响进行逆向串级。湍涡尺度的大小可以通过 Zeman 长度尺度来表征(图1)。Zeman 长度尺度以上的湍涡(即大尺度湍涡)由于能量逆向串级的影响,呈现出二维湍流特性。通过对称性分析发现逆向串级能量通量与正向串级能量通量的比值与湍流Rossby数的-2次幂成正比关系。通过敏感性数值实验 (Shao et al., 2023b)发现逆向串级对台风登陆后在平原地区的路径以及近地面风速有直接影响。研究成果为进一步发展台风边界层湍流参数化方案提供了物理机制基础和参考。
该系列工作分别发表在Journal of Geophysical Research: Atmospheres和Geophysical Research Letters上。研究得到了国家自然科学基金项目(42275065,41975006)和中国气象局重点创新团队项目(CMA2022ZD09)的共同资助。论文第一作者为博士生邵鑫,通讯作者为张宁教授。
论文信息:
Shao, X., Zhang, N., Peng, Z., Zhao, K., Luo, Y., & Song, X. (2022). Observed Surface Drag Coefficient Under High Wind Speed Conditions and the Relationship With Coherent Structures. Journal of Geophysical Research: Atmospheres, 127(3). https://doi.org/10.1029/2021jd035301
Shao, X., Zhang, N., & Tang, J. (2023a). A Physical Model for the Observed Inverse Energy Cascade in Typhoon Boundary Layers. Geophysical Research Letters, 50(18). https://doi.org/10.1029/2023gl105546
Shao, X., Zhang, N., & Tang, J. (2023b). The Impact of Observed Drag Reduction Over Land on Typhoon Forecasting. Journal of Geophysical Research: Atmospheres, 128(17). https://doi.org/10.1029/2022jd038278

图1:湍流串级能量通量随尺度与湍流Rossby数的变化
