近日,公司吴其冈教授带领的中高纬度气候变化研究室的最新研究成果《Significant anthropogenic-induced changes of climate classes since 1950》(1950年来人为活动导致的显著的气候带变化)于8月28日在Nature旗下期刊《Scientific Reports》在线发表(http://www.nature.com/articles/srep13487),吴其冈教授和他的硕士研究生禅铎分别是该论文的通讯作者和第一作者。研究得到国家重大科学研究计划项目(2012CB956002)与自然科学基金委项目(41075052)等的资助。
通过温度和降水的年变化定义的气候带对其中的生态群落的分布有重要的指示意义。全球变暖背景下,气候带的变化将对栖息其中的生物带来显著的生态压力,并对生态系统产生潜在的重要影响。但是,对过去60年间全球气候带是否发生了显著的变化,以及什么因素导致了这样的变化尚不清楚。
该研究工作利用多套温度、降水观测资料与第五次多模式比较计划(CMIP5)的模式输出结果,揭示多套独立的观测资料中均可检测到1950-2010年间柯本分类气候带存在95%置信度上的显著变化这一事实。这样的变化信号最早于上世纪80年代即可被检测出;截止2010年,所有的五类气候带(热带、干旱、温带、寒带、极地气候)至少在其面积或位置的一个方面发生了显著变化。进一步的归因分析表明人类活动的温室气体排放增加是导致这样气候带变化的最终推手。值得关注的是,对于尚未发生显著变化的气候带指数,它们将在未来的20-30年中首次表现出显著的趋势。
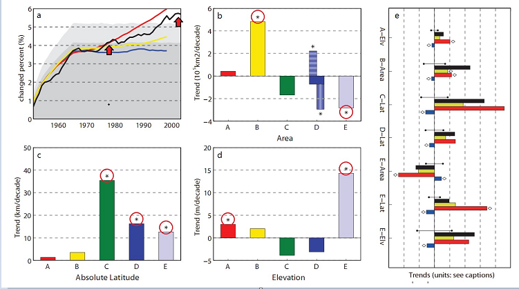
Figure 1. a. 全球5.7%的陆地面积发生了气候带的变化,且该信号最早于1980年前后出现;b. 干旱与极地气候的面积显著增加;c. 温带、寒带与极地气候显著向极地移动;d. 热带与极地气候的海拔显著增加;e. 人类活动的温室气体排放导致了前述显著变化。图中A, B, C, D, E分别表示柯本气候分类中热带、干旱、温带、寒带和极地气候。
同时,中高纬度气候变化研究室在中国地区气候带变化预测方面也取得重要进展。禅铎为第一作者,吴其冈教授为通讯作者,姜贵祥以及戴祥霖为合作者的论文“Projected Shifts in K?ppen Climate Zones over China and their Temporal Evolution in CMIP5 Multi-Model Simulations”(Duo Chan, Qigang Wu, Guixiang Jiang and Xianglin Dai)已被SCI期刊Advances in Atmospheric Sciences录用,即将发表。该工作预测了21世纪中国气候带变化的变化特征,指出在IPCC 第五次报告设定的21世纪人为温室气体排放的四类情景下(RCP2.6, RCP4.5, RCP6.0 和RCP8.5),东北寒带气候和青藏高原地区高寒气候带的覆盖区域面积在2030年之前将加速缩小,在2040年前后东北地区寒带针叶林气候带将完全消失;在高排放背景下(RCP8.5),2070年前后是青藏高原地区高寒气候带消失的重要时间点。
